浅析真空系统中的几种金属材料
一 、不锈钢
TEAM BUTLDING
1
不锈钢概述
在真空技术中,不锈钢是构造腔室或部件的优先材料。不锈钢在法兰连接处具有的足够强度—即使在烘烤过程中也不会对其硬度造成影响。它可以进行焊接,以保证其真空密封,其表面已充分钝化,从而为许多应用提供了足够的保护。
下表列出了真空技术中常用不锈钢的化学组成和性能。

注:依据EN100881第1部分、欧洲材料命名标准规定的不锈钢化学成分(质量分数)

依据AISI(美国钢铁协会)、材料命名标准规定的不锈钢化学成分(质量分数)


欧洲常用钢号可与AISI(美国钢铁协会)类似材料名称通用,如1.4301对应304、1.4307和1.4306对应304L、1.4404和1.4435对应316L以及1.4429对应316LN。不过,材料只是大约类似。真空应用的差异大多是非常微小的。然而,对于特殊要求,必须针对个别情况单独评估通用性。示例:如果某个部件需要材料1.4301,一般必须有相关材料证书。如果证书只显示材料304,则未满足要求。此时,证书中的名称很重要。如果满足相应的材料规格,制造商也可证明半成品具有几个名称。例如,如果材料被证明为1.4301、1.4307、304和304L,用途则会更加多样化。
为避免出现问题,例如在系统验收过程中,在验收半成品或部件时,必须预先明确规定材料及其证书的要求。后续证明通常是不可能的,特别是针对特殊要求:例如,由于特殊机械性能,根据AD2000W2(压力容器工作组,2000时间表W2,“压力容器的材料”)或ASME(美国机械工程师学会),在化学组成或证明中的限制。
2
不锈钢型号
1)、不锈钢1.4301:
最常用的铬镍钢。优良的冷成型、焊接和抛光性。较强的的抗腐蚀性,适用于很多应用。适合于真空应用。例如,用于法兰、管件和腔室。
2)、不锈钢1.4305:
1.4301的变体,含硫,以改善机械加工性(易切削钢)。耐腐蚀性低于1.4301。不可焊接。非常适用于真空应用。用于车床部件和铣削零件的一部分,如定心环。
3)、不锈钢1.4307,1.4306:
1.4301的低碳变体。由于碳含量低,所以可焊接,而不易被晶间腐蚀。强度略低于1.4301。非常适合于真空应用。应用要求非常低的碳含量,例如,用于CF法兰。1.4307逐渐取代1.4306,因为高含量的铬和镍带来的利益与其如此高的购买成本不匹配。
4)、不锈钢1.4401:
优良的冷成型性能。良好的焊接性和抛光性能。由于钼添加剂,它比1.4301更耐非氧化酸和含氯离子的介质。非常适用于真空应用。例如,用于阀门外壳、用在要求更多防腐保护的区域或用于家庭饮用水系统。
5)不锈钢1.4404:
1.4401的低碳变体。由于碳含量低,所以可焊接,而不易被晶间腐蚀。非常适合于真空应用。在要求具有非常低的碳含量或较高的耐腐蚀性时使用,例如,用于半导体行业中的管件和法兰部件。
6)不锈钢1.4435:
与1.4404相比,较高的镍含量稳定了奥氏体结构,降低delta铁素体的形成,因此即使在焊缝区域中,也几乎没有磁性。由于增添加了钼添加剂,它比1.4404更耐非氧化酸和含氯离子的介质。非常适合于真空应用。经常用于制药行业,同样受巴塞尔标准2(BN2)的限制,该标准设定了更严格的分析限制并限定了允许的铁素体含量。
7)不锈钢1.4429:
特点类似于1.4435,但是,由于氮含量高,它的强度更大。这也稳定了奥氏体结构,从而最大限度地减少delta铁素体的形成,从而减少磁化。非常适合于真空应用。用于CF法兰,尤其是在高温下发生针对清洁和消磁的真空退火时。1.4429在管和金属薄板方面的可用性很低。因此,用于腔室和部件、由1.4429制成的法兰通常与1.4404或1.4307制成的半成品结合。
8)不锈钢1.4429ESR:
性能与1.4429相同,但由于ESR(电渣重熔法)处理,其微观结构得到了改善并且具有较高的纯度。非常适用于真空应用。它被用作一种优质的CF法兰,表现出很大的强度和最小的可磁化性,并结合了较高的化学纯度和结构的均一性。
9)不锈钢1.4571:
经典的“V4A”钢,具有高可用性。使用钛稳定,因此可焊接,而不易被晶间腐蚀。性能类与1.4401类似,但是由于结构中的钛碳化物,它仅可中度抛光而不适合于电抛光。非常适用于真空应用。例如,用于对耐腐蚀性有更高要求的管道和设备的构建。

奥氏体不锈钢弹性模量的温度依赖性

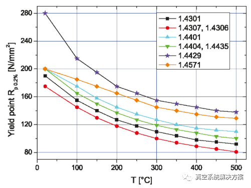
0.2%屈服点奥氏体不锈钢的温度依赖性
2
不锈钢构成工艺
ESR(电渣重熔法):通过ESR工艺,在可控制、可重复的条件下生产具有较高化学和结构纯度的低偏析致密不锈钢。主熔体块在ESR炉中进行电重熔。一电极在主块上,另一反向电极在水冷坩埚的底部。熔渣位于两极之间,由电阻加热到不锈钢熔化温度以上。金属液滴在与液态熔渣接触时,可对上面的非金属杂质进行清除,使其不断从主块底部释放出来。当通过熔渣时,粗大杂质几乎完全消失。剩下的是小杂质,几乎均匀地分布在次级块上。通过ESR工艺净化的不锈钢具有极高密度和同质性的特点。
奥氏体钢具有良好的可焊性,并且是非磁性的全奥氏体。在退火状态下,它们的特点是,即使在极低的温度下仍保持非常高的韧性值。它们往往具有高加工硬化能力,特别是具有较高的碳含量。部分微观结构可以转化为变形马氏体。全奥氏体钢在焊接过程中易于产生热裂纹。在许多奥氏体材料中,其化学成分往往被调整为将焊接金属内的delta铁素体含量提高至10%,这样则减少了热裂纹的形成。因此,许多称为奥氏体的钢可在其结构种包含铁素体或马氏体含量,这取决于它们的机械或热处理方式。
可磁化性:全奥氏体微观结构是没有磁性的。通过先前描述的将微观结构组成部分转变为变形马氏体或delta铁素体,即使被指定为奥氏体的钢也会变得略带磁性。对于马氏体和铁素体,两者都是可磁化的。通过溶液使冷加工硬化退火,从而使马氏体减少,甚至逆转。在微观结构种,delta铁素体的组成部分基本上取决于铁素体形成元素铬、钼、硅和铌与奥氏体形成元素镍、碳、氮和锰之比。铁素体含量部分可通过热处理降低,从而降低可磁化性。由于具有相同材料名称的不锈钢可在所述限制内具有不同的化学组成,其可磁化性不是定量的。根据DeLong,通过绘制奥氏体形成元素镍当量与铁素体形成元素铬当量的示意图,可看出奥氏体和铁素体含量。

在图3.3中,对于某些不锈钢,显示了铬和镍当量区域(彩色矩形),并以图标给出其平均当量。
稳定钢含有钛和铌,二者吸附在焊接过程中排出的碳,从而防止碳化铬的形成。碳化铬的形成将导致晶界处的铬减损,并可使该材料易受晶间腐蚀。对于焊接结构,应使用片材厚度大约为6mm或以上、低碳(C≤0.03%)或稳定的不锈钢。碳化铬严重限制了抛光性。
热处理:对于奥氏体不锈钢,固溶退火温度大约为1,050°C。由于在600°C和800°C之间的温度范围内存在形成碳化铬的风险,以及相比于晶间腐蚀造成的损害,因此必须快速通过900°C和500°C之间的温度范围。成品真空部件可在真空环境下,在950°C到1,100°C的温度范围内退火。当困在空间间隙中的氢脱气(低氢退火)以及可磁化性减少(消磁退火)时,可使得表面的杂质特别是残余的碳氢化合物(净化退火)得以清除。此外,任何现有的碳化铬溶解(固溶退火),以及因加工产生的材料应力消失(无应力退火)。然而,热处理还会减少在机械上有利的硬化。使用金属密封法兰,退火时可导致切削领域中不期望的材料硬度减少。如果使用金属密封件且密封件功能失效,则刀刃可能会发生断裂。因此,我们建议法兰材料1.4429ESR适用于退火处理。其硬度非常强,能够确保刀刃足够坚韧。
腐蚀:腐蚀取决于各种因素,因此,耐腐蚀性信息仅具有警示值,并适用于一般信息。它本应有利于不锈钢的选择,但并不能确保,因为它不容易适用于实际操作条件。例如,温度和浓度的增加以及机械应力的增加和对表面的损坏,都会加速腐蚀。而且,氧气的缺乏可防止氧化铬钝化层再生,因此缺乏防腐蚀保护。此外,杂质的出现也可加速腐蚀。实际上,最常出现的是氯离子和其它卤离子引起的点蚀、缝隙腐蚀和应力裂纹腐蚀。因此,钝化层局部破裂,且局部腐蚀继续。尤其是薄壁部件,如金属波纹管,最容易受到此类腐蚀。如有必要,应该通过测试确定使用寿命。此外,冷却水对部件的危害不应低估。被水包围的表面必须充分钝化,且冷却水必须能够显示出制造商指定的特点。

二、 碳钢

TEAM BUTLDING
真空技术中使用的碳钢,只要压力低于10-5hPa,该压力无需创建和保持,且无需防腐蚀保护。与不锈钢相比,它是价格相对低的建筑材料,具有良好的可焊性,并且易于加工。然而,在使用这种类型的钢时,必须考虑CO的连续出气以及受空气腐蚀的倾向。在大气侧,防腐蚀保护可以通过涂漆来提供,而在真空侧,这可以通过镀镍来提供。对于容器的制造,必须慎重选择所用的钢种,特别是可焊性和气密性方面。锅炉制造方法只可在有限的程度上转移到真空容器制造上。在标注尺寸时,外部气压造成的应力必须予以考虑,且焊接必须确保真空密封。此外,所使用的工具必须与加工不锈钢所使用的工具严格分开,以避免污染不锈钢。这对于储存和运输软钢和不锈钢同样适用。软钢通常用于法兰连接的紧固件,其中表面往往被镀锌、镀镍或镀铬,以保护它们免受腐蚀。

三、铝

TEAM BUTLDING
铝主要用于低、高真空范围,通常作为合金,特殊情况下,也作为纯铝使用。诸如ISO-KF管件之类的部件通常由铝合金制成带有重新加工的法兰面。在选择材料时,必须考虑收缩率和孔隙率。用于定心环和配套密封环时,部件由棒料制成。对于以密封垫或线型金属密封件,退火的铝硅合金是首选。
铝的蒸气压很低,在熔点为660°C时仅为6·10-9hPa左右。热膨胀系数大、导热系数高以及氧化铝层稳定使铝难以焊接。有出现气孔和裂缝的风险,非常容易扭曲变形。焊接前均匀加热会降低这些风险。然而,实际上,这通常是不可能的。
铝不可磁化。在有限的程度上,铝法兰连接仅可用于金属密封的UHV连接,因为它们的硬度通常太低。虽然目前已经开发出了特殊的双金属法兰,包括铝底座和不锈钢板,或具有坚韧密封面的铝法兰,但由于价格相对较高、加工性能存在一定风险以及应用性有限等,导致它们的应用并不成功。为了提高它们的抗磨损性,例如,用于洁净室中,或为了增加防腐蚀保护,铝表面往往作阳极化处理。这导致厚度增加几个微米、且存在多孔氧化层,这在真空应用中适用性非常有限。气体分子逐渐沉积在此类表面上,产生较高的解吸率。此外,表面区域的气体分子可在密封件下形成通道,造成泄漏。有各种可用的阳极处理。在决定是否使用此类方法时,必须考虑局限性,并权衡利益。
以上是小编收集整理的浅析真空系统中的几种金属材料部分内容来自网络,如有侵权请联系删除:153045535@qq.com;
本文地址://m.420what.com/gykqjh/4870.html










